1、活塞壓力計的基本原理
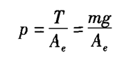
活塞式壓力計是根據流體靜力學原理設計的,即作用在活塞有效面積上流體壓力與所負荷重力相平衡,如圖1所示。
活塞壓力計應懸浮在活塞筒中并處于一個固定位置。為了避免產生靜摩擦力,在工作時使活塞桿與活塞筒之間有一相對旋轉運動,活塞筒與活塞桿之間有一相對旋轉運動而使活塞桿處于活塞筒中間位置。所產生壓力大小基本公式如下:

式中:Ae為參考溫度下活塞的有效面積,m2;m為砝碼、活塞及連接件總質量,kg;g為當地的重力加速度,m·s2。

2、活塞壓力計的一般檢定[1.2]
(1)活塞有效面積的檢定方法分為起始平衡法和直接平衡法(也稱全壓法),在我國過去的活塞壓力計檢定規程中都規定采用起始平衡法對活塞有效面積進行檢定,新修訂的JJG59-2007《活塞壓力計檢定規程》中增加了直接平衡法,并分別規定了使用這兩種方法進行檢定的條件。
(2)規程上規定在兩個活塞參數相同或準確度要求低時才使用該方法,在使用起始平衡法時沒有實時修正,需要檢測環境溫度的穩定度。悅進等人指出環境溫度不是主要影響量,但溫度的變化卻對結果影響很大。使用直接平衡法時,需要準確測量高度差和砝碼質量。
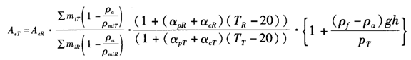
(3)以油為介質的活塞壓力計中,其直接平衡法的公式為:

式中:Aer、Aet為被測標準和參考標準的有效面積,T為被測標準活塞壓力計,R為標準活塞壓力計,mi為活塞桿、承重掛盤和砝碼的總質量,αp、αc為活塞桿和活塞筒的熱膨脹系數,ρa、ρm為大氣和砝碼密度,ρf為液體介質的密度,h為參考面的高度差,中括號的第二項其正負值取決于參考面的高低。不同介質(變壓器油或癸二酸二異辛酯和氣體)其高度差測不準帶來的誤差相差很大,如對于產生1MPa的標準壓力,1mm油柱測量不準帶來的相對誤差為:

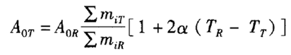
同理1mm氣柱測量帶來的相對誤差為1×10-7。比較平衡法會減小高度差測不準帶來的影響。由此可見,在氣體活塞有效面積的檢定中,可以使用直接平衡法。在油介質活塞有效面積的檢定中,使用起始平衡法是合理的。起始平衡法的公式為:

當被檢活塞壓力計和標準活塞壓力計的溫度發生變化時,加上溫度修正公式變為:
如果被檢活塞壓力計和參考活塞壓力計的材質參數完全相等,則上式可簡化為:

前提是平衡點的溫度是基本保持不變的,否則需要對平衡點溫度變化引起的誤差進行修正。
聯系人:office
手 機:0913-8563896 / 15877552632
郵 箱:office@taiholl.com
公 司:陜西泰匯爾儀器制造有限公司
地 址:陜西省渭南市大荔縣許莊鎮黨家村4組