今天我們舉例講下力值對活塞精度的影響
計算實例:
下面是氣體活塞壓力計的一個例子,它的物理參數,包括砝碼值,由廠家提供。
示例:
在Ta = 20℃,Pr = 6.9 MPa 時,計算需要施加的砝碼質量。
設備:
氣體活塞壓力計主機:THLL210
活塞系統:THLL210
專用砝碼組:THLL210
環境:
gl - 978.72346 cm/sec2
P(ref) - 大氣
ρa - 0.00118 gm/cm3
h - 0 cm (無高度差)
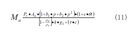
根據式(10)可計算所需的砝碼質量Ma(表觀值),也可用下式計算:

已知參數分別為:
Ao = 8.39086E-02 cm2 ( 20oC)
b1 = 3.0E-06 m2/MPa
b2 = 0.0
c = 9.1E-06 m2/m2/oC
ρa = 0.00118gm/cm3
k = 1/980.665 cm/sec2
gl = 978.72346 cm/sec2
θt = Ta -20 = 20-20 = 0oC
ρs = 8.0 gm/cm3
Pref = 大氣
p = 標稱壓力
Pr = 6.9 MPa / 9.80665 = 70.3604187kg/cm2
(1 + b1 . p) = (1 + 3E-06 . 70.36) =1.000211081
(1 + c·θt) = 1 + 0.0000091 ? 0 = 1
k · gl = 978.72346/980.665 = 0.99802018
(1 - ρa/ρs) = 0.9998525
帶入式(11),可計算得到需要的砝碼質量為:

即:
Ma= 5.917677488kg
由此,可以得到需要施加的砝碼的質量:
Mtare = Ma? total mass (kg) (12)
上式中,tare mass 是活塞及連接件的質量。
M total= 5.917677483 ? 0.01178538
= 5.905892103
從砝碼組中選取合適的砝碼,并利用克組、毫克組砝碼進行精確調整,施加需要的砝碼質量,具體過程為:
Mtotal= 5.905892103
-0.5000266 1# 砝碼
=5.40586550
-1.0000569 2# 砝碼
= 4.40580860
-1.0000866 3# 砝碼
= 3.40572200
-1.0000839 4# 砝碼
= 2.40563810
-1.0000300 5# 砝碼
= 1.40560810
-0.9999244 6# 砝碼
= 0.40568370
-0.2999771 8# 砝碼
= 0.10570660
-0.10000382 10# 砝碼
= 0.00570278kg
即 5.703 grams 克、毫克砝碼
在活塞上按以上順序加上砝碼,調整活塞系統壓力使其處于廠家標記的工作位置(參考平面)后,就可以確認:壓力計產生的壓力就是計算出的壓力值。
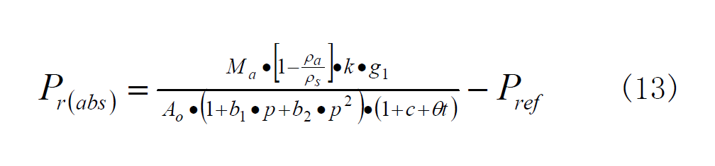
在該示例中,活塞壓力計產生的壓力與大氣壓有關,活塞的參考面,包括砝碼,都置于當地的大氣環境中,工作在表壓測量模式;如果參考壓力減小到絕對零壓,那么活塞產生的壓力就是絕對壓力。為實現絕壓工作模式,通常用一個鐘形的玻璃罩將質量塊封裝在其內,用排量合適的真空泵, 將玻璃罩內的氣體抽出。
但將玻璃容器抽成高真空是很難實現的,應測量出內部的殘余壓力,并列入壓力的計算式中。這樣得到絕對的壓力—力值關系式如下:

上式中不包括表面張力修正項,是因為絕壓通常只用氣體活塞壓力計產生,基本上不用考慮氣體介質表面張力的影響。
聯系人:office
手 機:0913-8563896 / 15877552632
郵 箱:office@taiholl.com
公 司:陜西泰匯爾儀器制造有限公司
地 址:陜西省渭南市大荔縣許莊鎮黨家村4組